Solar Tracker Cost-Effectiveness: Integrated Economic Modeling and Solar Geometry for Optimal PV System Design

48 minute read

Published:

As solar photovoltaic (PV) systems become increasingly prevalent worldwide, a fundamental question emerges: are solar panel trackers—electromechanical devices that rotate panels to follow the sun—cost-effective investments, or are they merely expensive “toys” that fail to justify their additional cost? This question becomes particularly critical as installation costs, electricity prices, and system configurations vary dramatically across geographic locations, installation types (residential, commercial, industrial), and market conditions. A comprehensive mathematical framework is needed to evaluate whether the energy gains from tracking justify the additional capital costs, operational expenses, and maintenance requirements.

What makes this problem mathematically fascinating and operationally significant is its integration of multiple complex domains:

  1. Solar Geometry and Spherical Trigonometry where sun position calculations require spherical coordinate transformations $\theta_{zenith} = \arccos(\sin(\delta)\sin(\phi) + \cos(\delta)\cos(\phi)\cos(h))$ with declination $\delta$, latitude $\phi$, and hour angle $h$, creating time-dependent irradiance patterns that fundamentally differ from fixed-tilt assumptions

  2. Plane-of-Array (POA) Irradiance Modeling where the Perez diffuse sky model computes total irradiance $G_{POA} = G_{beam} \cos(\theta_{AOI}) + G_{diffuse} + G_{reflected}$ accounting for direct beam (with angle-of-incidence losses), diffuse sky radiation (anisotropic distribution), and ground-reflected components, requiring sophisticated radiative transfer calculations

  3. Economic Analysis with Time-Value of Money where Net Present Value calculations $NPV = -C_0 + \sum_{t=1}^{T} \frac{R_t - C_t}{(1+r)^t}$ integrate capital costs $C_0$, annual revenues $R_t = E_t \cdot p_{elec}$ (energy production $E_t$ times electricity price $p_{elec}$), operational costs $C_t$, and discount rate $r$ over system lifetime $T$, creating complex financial optimization problems

  4. Constrained Optimization where system selection must simultaneously satisfy multiple criteria: positive NPV (profitability), minimum LCOE (cost-effectiveness), acceptable payback period (risk tolerance), and energy production requirements (performance), creating multi-objective decision problems

  5. Geographic and Market Variability where optimal system selection depends on latitude (affecting solar geometry and tracking benefits), electricity prices (varying from ¥0.40/kWh feed-in tariffs to ¥0.85/kWh commercial rates), installation types (residential vs. industrial affecting both prices and system sizes), and country-specific cost structures (China vs. USA with different equipment costs and labor rates)

Unlike classical economic analysis where simple payback periods suffice, solar tracker evaluation requires integrated modeling of solar physics, weather patterns, financial mathematics, and geographic constraints.

The scale and significance of this problem extends beyond individual installations. With global solar PV capacity exceeding 1,000 GW and installations ranging from 1 kW residential systems to 100+ MW utility-scale plants, the decision between fixed mounts, single-axis trackers, dual-axis trackers, and manual adjustment systems affects billions of dollars in capital allocation annually. A mathematically rigorous framework can provide systematic guidance for optimal system selection across diverse conditions, potentially enhancing both economic returns and energy production.

What makes this challenge particularly mathematically intriguing is its multi-layered complexity. Solar tracker cost-effectiveness isn’t simply an economic calculation—it emerges from intricate interactions between solar geometry (tracking angles affecting irradiance capture), weather patterns (cloud cover, temperature affecting performance), physical losses (soiling, degradation, temperature coefficients), financial parameters (discount rates, electricity prices, OM costs), and system constraints (tracker energy consumption, availability factors, structural limits). Understanding these dynamics requires sophisticated mathematical frameworks integrating spherical trigonometry, radiative transfer, financial mathematics, and optimization theory.

This project addresses this challenge by developing a comprehensive computational framework that combines solar position calculations using spherical geometry, POA irradiance modeling with Perez diffuse sky model, power output calculations accounting for all physical loss mechanisms, tracker control algorithms for optimal positioning, economic analysis computing NPV, LCOE, payback period, and IRR, and decision rules generating actionable recommendations based on latitude, electricity price, and system size. The mathematical foundation rests on integrated solar physics and financial modeling, providing optimal system selection that accounts for geographic location, market conditions, and installation type.

This post explores a comprehensive solar tracker cost-effectiveness analysis system that I developed for IMMC 2026 Problem B, analyzing fixed, single-axis, dual-axis, and manual biannual adjustment systems across diverse geographic locations and market conditions. While addressing the challenge of determining when trackers are cost-effective versus “toys,” this project provided an opportunity to apply rigorous mathematical modeling combining solar geometry, economic analysis, and decision optimization to create a systematic evaluation framework—all implemented through efficient computational frameworks enabling analysis of multiple system configurations with comprehensive constraint satisfaction.

In this post, I present an integrated mathematical framework designed to solve solar tracker cost-effectiveness problems by combining solar position calculations using spherical trigonometry for accurate sun tracking, POA irradiance modeling with Perez diffuse model accounting for direct, diffuse, and reflected components, power output calculations with temperature, soiling, degradation, and availability losses, tracker control algorithms optimizing panel orientation for maximum energy capture, economic analysis computing NPV, LCOE, payback period, and IRR with time-value of money, and decision rules generating actionable recommendations based on comprehensive analysis. By integrating multidisciplinary mathematical approaches with computational implementation, I transformed a complex solar system evaluation challenge into a cohesive analytical system that significantly enhances both our understanding of tracker cost-effectiveness and our ability to make optimal system selection decisions.

Key Mathematical Innovations: This framework is distinctive in several important ways:

  1. Integrated Solar Physics and Economics—unlike standard economic analysis that uses simplified energy production estimates, this approach models hourly solar geometry, POA irradiance, and power output throughout the year, then integrates these physical calculations with detailed financial analysis including degradation, OM schedules, and tracker replacement costs

  2. Multi-System Comparative Analysis—the framework simultaneously evaluates fixed mounts, single-axis trackers, dual-axis trackers, and manual biannual adjustment systems, computing energy production, capital costs, OM costs, NPV, LCOE, and payback periods for each, enabling direct comparison under identical conditions

  3. Geographic and Market Adaptability—the system adapts to different countries (China, USA) with country-specific equipment costs, electricity prices, and financial parameters, and different installation types (residential, commercial, industrial, feed-in tariff) with appropriate electricity price selection, ensuring realistic analysis across diverse conditions

  4. Comprehensive Loss Modeling—power output calculations account for angle-of-incidence (AOI) losses through incidence angle modifier $IAM(\theta) = 1 - \beta_0(1 - \cos(\theta))$, temperature losses through power temperature coefficient $\alpha_T = -0.004/°C$, soiling losses (typically 2%), degradation (0.5% per year), inverter efficiency (typically 96%), and system availability (99% for fixed, 97% for trackers), providing realistic energy production estimates

  5. Decision Rule Generation—the framework generates concise, actionable decision rules based on latitude thresholds (tropical < 25°, subtropical 25-40°, temperate 40-60°, high-latitude > 60°), electricity price thresholds (minimum prices for cost-effectiveness), energy gain thresholds (minimum 15% for single-axis, 25% for dual-axis), and system size considerations, providing clear guidance for system selection

  6. Visualization and Reporting—comprehensive visualizations including energy comparison charts, economic metrics (capital cost, NPV, LCOE, payback), cash flow timelines, energy vs. cost scatter plots, cost breakdown pie charts, ROI comparisons, and monthly/seasonal production patterns, enabling intuitive interpretation of complex multi-dimensional analysis results

Note: This analysis was developed as a comprehensive mathematical modeling solution for IMMC 2026 Problem B, showcasing how solar tracker cost-effectiveness can be addressed through sophisticated integration of solar physics, economic analysis, and decision optimization.

The Mathematical Challenge: Why Solar Tracker Evaluation Requires Integrated Modeling

Before diving into the solution framework, it’s essential to understand why solar tracker cost-effectiveness fundamentally requires integrated solar physics and economic modeling rather than simple cost-benefit calculations.

The Solar Geometry Constraint

Solar trackers operate by orienting panels to maximize irradiance capture throughout the day. This requires accurate calculation of sun position on the celestial sphere, which depends on location (latitude $\phi$, longitude $\lambda$), date, and time. The solar zenith angle $\theta_z$ and azimuth angle $\psi$ are computed using spherical trigonometry:

\[\theta_z = \arccos(\sin(\delta)\sin(\phi) + \cos(\delta)\cos(\phi)\cos(h))\] \[\psi = \arctan2(\sin(h), \cos(h)\sin(\phi) - \tan(\delta)\cos(\phi))\]

where declination $\delta = 23.45° \sin(360° \cdot \frac{284+n}{365})$ (day of year $n$) and hour angle $h = 15° \cdot (t_{solar} - 12)$ (solar time $t_{solar}$). For trackers, optimal panel orientation depends on system type:

  • Fixed: Tilt = latitude $\phi$, azimuth = 180° (south in Northern Hemisphere)

  • Single-Axis (Horizontal N-S): Tilt = elevation angle $90° - \theta_z$, azimuth = 180°

  • Dual-Axis: Tilt = $\theta_z$, azimuth = $\psi$ (direct sun tracking)

  • Manual Biannual: Tilt = $\phi - 15°$ (summer) or $\phi + 15°$ (winter), azimuth = 180°

The energy gain from tracking depends critically on these geometric calculations. At high latitudes ($\phi > 40°$), the sun’s path varies dramatically throughout the year, making tracking more beneficial. At low latitudes ($\phi < 25°$), the sun is more directly overhead, reducing tracking benefits.

The POA Irradiance Modeling Challenge

The irradiance incident on a tilted panel (Plane-of-Array, POA) differs from horizontal irradiance due to geometric and atmospheric effects. The total POA irradiance is:

\[G_{POA} = G_{beam} \cos(\theta_{AOI}) + G_{diffuse} + G_{reflected}\]

where:

  • Direct beam: $G_{beam} = DNI \cdot \cos(\theta_{AOI})$ with angle-of-incidence $\theta_{AOI}$ computed from panel orientation and sun position

  • Diffuse sky: $G_{diffuse}$ uses the Perez model accounting for anisotropic sky radiance distribution, depending on sky clearness index $\epsilon = \frac{DNI + DHI}{DHI}$ and brightness coefficient $\Delta = \frac{DHI \cdot m}{I_0}$ (air mass $m$, solar constant $I_0 = 1367$ W/m²)

  • Ground-reflected: $G_{reflected} = GHI \cdot \rho_{ground} \cdot \frac{1-\cos(\beta)}{2}$ with ground albedo $\rho_{ground} \approx 0.25$ and panel tilt $\beta$

The Perez model uses empirical coefficients $F_1(\epsilon, \Delta)$ and $F_2(\epsilon, \Delta)$ to weight circumsolar, horizon, and isotropic diffuse components. This sophisticated modeling is essential because diffuse radiation can contribute 20-40% of total irradiance, and its distribution affects tracker benefits.

The Economic Analysis Complexity

Solar tracker cost-effectiveness requires comprehensive financial analysis accounting for:

Capital Costs: $C_0 = (C_{panel} + C_{mounting} + C_{tracker}) \cdot P_{rated} \cdot (1 + f_{labor})$ where panel cost $C_{panel}$, mounting cost $C_{mounting}$, tracker cost $C_{tracker}$ (zero for fixed), system size $P_{rated}$, and labor fraction $f_{labor}$ vary by country and system type.

Annual Revenue: $R_t = E_t \cdot p_{elec}$ where energy production $E_t$ degrades annually $E_t = E_0 \cdot (1-d)^{t-1}$ (degradation rate $d = 0.5\%$) and electricity price $p_{elec}$ varies by installation type and country.

Operational Costs: $C_{OM,t} = C_0 \cdot r_{OM}$ (annual OM rate $r_{OM}$) plus tracker replacement costs at year $T_{tracker}$ (typically year 20): $C_{replace} = C_{tracker} \cdot P_{rated} \cdot f_{replace}$ (replacement fraction $f_{replace} = 0.4$).

Net Present Value:

\[NPV = -C_0 + \sum_{t=1}^{T} \frac{R_t - C_{OM,t} - C_{replace,t}}{(1+r)^t}\]

where discount rate $r$ (typically 5-6%) and system lifetime $T$ (typically 25 years) affect profitability.

Levelized Cost of Energy:

\[LCOE = \frac{C_0 + \sum_{t=1}^{T} \frac{C_{OM,t} + C_{replace,t}}{(1+r)^t}}{\sum_{t=1}^{T} \frac{E_t}{(1+r)^t}}\]

LCOE represents the average cost per kWh over the system lifetime, enabling direct comparison between systems.

Payback Period: The time $t_{payback}$ when cumulative cash flow becomes positive: $\sum_{t=0}^{t_{payback}} CF_t = 0$ where $CF_0 = -C_0$ and $CF_t = R_t - C_{OM,t} - C_{replace,t}$ for $t > 0$.

These calculations require hourly energy production data throughout the year, integrated with financial parameters, creating a computationally intensive but mathematically rigorous evaluation.

Why This Matters Mathematically

The combination of solar geometry, POA irradiance modeling, power output calculations, and economic analysis creates a fundamentally different problem than standard cost-benefit analysis. The mathematical framework must:

  1. Compute sun positions accurately using spherical trigonometry for every hour of the year

  2. Model POA irradiance accounting for direct, diffuse, and reflected components with anisotropic sky models

  3. Calculate power output with all physical losses (AOI, temperature, soiling, degradation, availability)

  4. Integrate financial analysis with time-value of money, degradation, and replacement costs

  5. Generate decision rules based on geographic and market conditions

This requires integrated mathematical modeling rather than applying standard economic formulas to simplified energy estimates.

Problem Background: The Challenge of Solar Tracker Cost-Effectiveness

Solar tracker cost-effectiveness represents a fundamental challenge in renewable energy system design, requiring precise mathematical representation of solar physics, sophisticated analysis of financial performance, and comprehensive evaluation of system selection under multiple criteria. The decision between fixed mounts, single-axis trackers, dual-axis trackers, and manual adjustment systems depends on complex interactions between geographic location (affecting solar geometry and tracking benefits), electricity prices (varying from ¥0.40/kWh feed-in tariffs to ¥0.85/kWh commercial rates), installation types (residential, commercial, industrial affecting both prices and system sizes), system sizes (1 kW residential to 100+ kW commercial), and country-specific cost structures (China with lower equipment costs but potentially lower electricity prices vs. USA with higher equipment costs but potentially higher electricity prices).

The mathematical challenge encompasses multiple interconnected components: solar geometry requiring spherical coordinate transformations and sun position calculations $\theta_z = \arccos(\sin(\delta)\sin(\phi) + \cos(\delta)\cos(\phi)\cos(h))$ for accurate tracking, POA irradiance modeling using Perez diffuse sky model $G_{POA} = G_{beam}\cos(\theta_{AOI}) + G_{diffuse} + G_{reflected}$ accounting for anisotropic sky radiance, power output calculations $P = P_{rated} \cdot \frac{G_{POA}}{1000} \cdot IAM(\theta_{AOI}) \cdot (1+\alpha_T(T_{cell}-25)) \cdot (1-L_{soiling}) \cdot (1-0.005 \cdot age) \cdot \eta_{inv} \cdot Availability$ with comprehensive loss mechanisms, tracker control algorithms optimizing panel orientation for maximum energy capture, economic analysis computing NPV $NPV = -C_0 + \sum_{t=1}^{T} \frac{R_t - C_t}{(1+r)^t}$, LCOE $LCOE = \frac{\sum C_t/(1+r)^t}{\sum E_t/(1+r)^t}$, payback period, and IRR, and decision rules generating actionable recommendations based on latitude thresholds, electricity price thresholds, and energy gain analysis.

The system operates under realistic constraints including geographic variability (latitude affecting solar geometry and tracking benefits), market variability (electricity prices varying by installation type and country), cost variability (equipment costs, labor rates, OM rates varying by country), system constraints (tracker energy consumption 3-5% of production, availability factors 97-99%, structural limits ±60° rotation), and financial parameters (discount rates 5-6%, system lifetime 25 years, degradation 0.5% per year, tracker lifetime 20 years).

The Traditional Approach and Its Limitations

Traditional solar system evaluation often relies on simplified assumptions:

Simplified Energy Estimates: Many analyses use rule-of-thumb energy production estimates (e.g., “fixed system produces X kWh/kW/year”) without modeling actual solar geometry, weather patterns, or hourly variations. This fails to capture the nuanced benefits of tracking.

Static Economic Analysis: Simple payback calculations $t_{payback} = \frac{C_0}{R_{annual}}$ ignore time-value of money, degradation, OM costs, and replacement expenses, providing misleading results.

Single-Location Analysis: Many studies analyze only one location or assume universal applicability, ignoring that tracker benefits vary dramatically with latitude, climate, and market conditions.

Binary Recommendations: “Trackers are always cost-effective” or “trackers are never cost-effective” fail to account for the conditional nature of cost-effectiveness depending on location, prices, and system size.

A mathematically rigorous framework addresses these limitations by modeling hourly solar geometry, comprehensive POA irradiance, detailed power output with all losses, complete financial analysis with time-value of money, and systematic evaluation across diverse conditions.

The Scale of the Problem

With global solar PV capacity exceeding 1,000 GW and installations ranging from 1 kW residential systems to 100+ MW utility-scale plants, the decision between fixed mounts and trackers affects billions of dollars in capital allocation annually. A systematic framework can provide guidance for optimal system selection across:

  • Geographic Diversity: Locations from equator (0° latitude) to high latitudes (60°+), with tracking benefits varying dramatically

  • Market Diversity: Electricity prices from ¥0.40/kWh (feed-in tariffs) to ¥0.85/kWh (commercial rates), affecting economic viability

  • Installation Diversity: Residential (1-10 kW), commercial (10-100 kW), industrial (100+ kW) systems with different cost structures and electricity prices

  • Country Diversity: China (lower equipment costs, moderate electricity prices) vs. USA (higher equipment costs, variable electricity prices) with different financial parameters

The mathematical framework provides systematic evaluation enabling optimal decisions across this diversity.

Mathematical Framework: Integrated Solar Physics and Economic Analysis

Solar Position Calculations

The foundation of tracker evaluation is accurate sun position calculation. For a location at latitude $\phi$ and longitude $\lambda$ at time $t$, the solar position is computed using spherical trigonometry.

Declination (sun’s angular position north/south of celestial equator):

\[\delta = 23.45° \sin\left(360° \cdot \frac{284+n}{365}\right)\]

where $n$ is day of year (1-365).

Equation of Time (correction for Earth’s elliptical orbit and axial tilt):

\[EoT = 9.87\sin(2B) - 7.53\cos(B) - 1.5\sin(B)\]

where $B = 360° \cdot \frac{n-81}{364}$.

Solar Time:

\[t_{solar} = t_{local} + \frac{\lambda - \lambda_{std}}{15°} + \frac{EoT}{60}\]

where $\lambda_{std}$ is standard meridian for timezone.

Hour Angle:

\[h = 15° \cdot (t_{solar} - 12)\]

Solar Zenith Angle:

\[\theta_z = \arccos(\sin(\delta)\sin(\phi) + \cos(\delta)\cos(\phi)\cos(h))\]

Solar Azimuth Angle (measured from north, clockwise):

\[\psi = \arctan2(\sin(h), \cos(h)\sin(\phi) - \tan(\delta)\cos(\phi))\]

These calculations are performed for every hour of the year (8,760 hours), creating time series of sun positions that drive tracker orientation and energy production.

Tracker Control Algorithms

Different tracker types use different algorithms to optimize panel orientation:

Fixed System:

  • Tilt: $\beta =\phi$ (latitude angle for maximum annual energy)
  • Azimuth: $\alpha = 180°$ (south in Northern Hemisphere) or $0°$ (north in Southern Hemisphere)

Single-Axis Tracker (Horizontal N-S Axis):

  • Tilt: $\beta = 90° - \theta_z$ (elevation angle, limited to $0° \leq \beta \leq 60°$ for structural stability)

  • Azimuth: $\alpha = 180°$ (south-facing)

This follows the sun’s daily east-west path, maximizing direct beam capture.

Dual-Axis Tracker:

  • Tilt: $\beta = \min(\theta_z, 60°)$ (zenith angle, limited for safety)

  • Azimuth: $\alpha = \psi$ (solar azimuth, direct sun tracking)

This provides maximum energy capture by always pointing directly at the sun.

Manual Biannual Adjustment:

  • Summer (April-September): $\beta =\phi- 15°$ (lower tilt for high sun)
  • Winter (October-March): $\beta =\phi+ 15°$ (higher tilt for low sun)
  • Azimuth: $\alpha = 180°$ (south-facing)

This provides seasonal optimization with minimal complexity.

POA Irradiance Modeling

The irradiance incident on a tilted panel requires sophisticated modeling of direct, diffuse, and reflected components.

Angle of Incidence (between panel normal and sun direction):

\[\theta_{AOI} = \arccos(\sin(\beta)\sin(\delta)\sin(\phi) + \cos(\beta)\cos(\delta)\cos(\phi)\cos(h) + \sin(\beta)\cos(\delta)\sin(\phi)\cos(h) - \cos(\beta)\sin(\delta)\cos(\phi))\]

Direct Beam Component:

\[G_{beam} = \begin{cases} DNI \cdot \cos(\theta_{AOI}) & \text{if } \theta_{AOI} < 90° \text{ and } \theta_z < 90° \\ 0 & \text{otherwise} \end{cases}\]

Perez Diffuse Sky Model:

The Perez model accounts for anisotropic sky radiance distribution:

\[G_{diffuse} = DHI \cdot \left[F_1 \cdot \frac{a}{b} + F_2 \cdot \sin(\beta) + \frac{1+\cos(\beta)}{2}\right]\]

where:

  • $a = \max(0, \cos(\theta_{AOI}))$ (circumsolar coefficient)

  • $b = \max(0.087, \cos(\theta_z))$ (horizon brightening coefficient)

  • $F_1(\epsilon, \Delta)$ and $F_2(\epsilon, \Delta)$ are empirical coefficients depending on sky clearness $\epsilon = \frac{DNI + DHI}{DHI}$ and brightness $\Delta = \frac{DHI \cdot m}{I_0}$ (air mass $m = \frac{1}{\cos(\theta_z)}$)

The coefficients are determined from lookup tables based on $\epsilon$ bins.

Ground-Reflected Component:

\[G_{reflected} = GHI \cdot \rho_{ground} \cdot \frac{1-\cos(\beta)}{2}\]

where ground albedo $\rho_{ground} \approx 0.25$ (typical for vegetation/soil).

Total POA Irradiance:

\[G_{POA} = G_{beam} + G_{diffuse} + G_{reflected}\]

This is computed hourly throughout the year, creating time series of irradiance that drive power output calculations.

Power Output Calculations

Power output accounts for all physical loss mechanisms:

Base Power from Irradiance:

\[P_{base} = P_{rated} \cdot \frac{G_{POA}}{1000 \text{ W/m²}}\]

Incidence Angle Modifier (reflection losses at non-normal angles):

\[IAM(\theta_{AOI}) = 1 - \beta_0(1 - \cos(\theta_{AOI}))\]

where $\beta_0 \approx 0.05$ (typical for glass encapsulation).

Cell Temperature (affecting efficiency):

\[T_{cell} = T_{ambient} + \frac{G_{POA}}{800 \text{ W/m²}} \cdot (T_{NOCT} - 20°C)\]

where $T_{NOCT} = 45°C$ (Nominal Operating Cell Temperature).

Temperature Loss Factor:

\[f_{temp} = 1 + \alpha_T(T_{cell} - 25°C)\]

where temperature coefficient $\alpha_T = -0.004/°C$ (typical for silicon).

Soiling Losses: $L_{soiling} = 0.02$ (2% typical average).

Degradation: $f_{degradation} = 1 - 0.005 \cdot age$ (0.5% per year).

Inverter Efficiency: $\eta_{inv} = 0.96$ (96% typical).

System Availability: $Availability = 0.99$ (fixed) or $0.97$ (trackers, accounting for maintenance downtime).

Final AC Power Output:

\[P_{AC} = P_{base} \cdot IAM(\theta_{AOI}) \cdot f_{temp} \cdot (1-L_{soiling}) \cdot f_{degradation} \cdot \eta_{inv} \cdot Availability\]

Tracker Energy Consumption: Trackers consume energy for operation:

\[E_{tracker} = E_{gross} \cdot f_{consumption}\]

where $f_{consumption} = 0.03$ (single-axis) or $0.05$ (dual-axis), representing 3-5% of gross production.

Net Energy Production:

\[E_{net} = E_{gross} - E_{tracker}\]

These calculations are performed hourly, then summed annually to obtain total energy production.

Economic Analysis Framework

Capital Cost Calculation:

\[C_0 = (C_{panel} + C_{mounting} + C_{tracker}) \cdot P_{rated} \cdot (1 + f_{labor})\]

where costs vary by country and system type (e.g., China: $C_{panel} = 1.50$ CNY/W, $C_{mounting} = 0.40$ CNY/W, $C_{single-axis} = 1.00$ CNY/W, $C_{dual-axis} = 2.00$ CNY/W, $f_{labor} = 0.18$).

Annual OM Costs:

\[C_{OM,t} = C_0 \cdot r_{OM}\]

where OM rates vary by system type (fixed: 0.8%, single-axis: 2.0%, dual-axis: 3.0%).

Tracker Replacement (at year $T_{tracker} = 20$):

\[C_{replace,t} = \begin{cases} C_{tracker} \cdot P_{rated} \cdot f_{replace} & \text{if } t = T_{tracker} \\ 0 & \text{otherwise} \end{cases}\]

where $f_{replace} = 0.4$ (40% of original tracker cost).

Annual Revenue (with degradation):

\[R_t = E_0 \cdot (1-d)^{t-1} \cdot p_{elec}\]

where degradation rate $d = 0.005$ and electricity price $p_{elec}$ varies by installation type.

Net Present Value:

\[NPV = -C_0 + \sum_{t=1}^{T} \frac{R_t - C_{OM,t} - C_{replace,t}}{(1+r)^t}\]

Levelized Cost of Energy:

\[LCOE = \frac{C_0 + \sum_{t=1}^{T} \frac{C_{OM,t} + C_{replace,t}}{(1+r)^t}}{\sum_{t=1}^{T} \frac{E_t}{(1+r)^t}}\]

Payback Period: Solve for $t_{payback}$ where cumulative cash flow becomes positive:

\[\sum_{t=0}^{t_{payback}} CF_t = 0\]

Internal Rate of Return: Solve for $r_{IRR}$ where $NPV = 0$:

\[-C_0 + \sum_{t=1}^{T} \frac{R_t - C_{OM,t} - C_{replace,t}}{(1+r_{IRR})^t} = 0\]

These calculations provide comprehensive financial evaluation enabling system comparison.

Decision Rules Generation

The framework generates actionable decision rules based on analysis results:

Latitude-Based Rules:

  • Tropical ($\phi< 25°$): Fixed systems often sufficient, trackers provide smaller benefits
  • Subtropical ($25° \leq\phi< 40°$): Trackers provide moderate benefits, cost-effectiveness depends on electricity price
  • Temperate ($40° \leq\phi< 60°$): Trackers typically more beneficial due to larger seasonal sun angle variations
  • High-Latitude ($\phi\geq 60°$): Trackers highly beneficial, often cost-effective

Energy Gain Thresholds:

  • Single-Axis: Minimum 15% energy gain for cost-effectiveness consideration

  • Dual-Axis: Minimum 25% energy gain for cost-effectiveness consideration

Electricity Price Thresholds: Minimum prices for cost-effectiveness estimated based on energy gain and cost increase:

\[p_{min} \approx p_{current} \cdot \left(1 + \frac{\Delta C / E_{annual}}{\Delta E / E_{annual}}\right)\]

System Size Considerations: Large systems (>100 kW) often favor trackers due to economies of scale in tracker costs.

Final Recommendation Logic:

  1. If any system has positive NPV → recommend system with highest NPV

  2. If all systems have negative NPV → recommend system with least negative NPV (typically Fixed)

  3. Consider trackers if energy gain > threshold AND electricity price > minimum threshold

  4. Provide conditions for when trackers become cost-effective (e.g., “Electricity price > ¥0.72/kWh would make dual-axis cost-effective”)

Model Development: Implementation Details

Data Acquisition and Weather Modeling

The framework supports both synthetic weather data generation and real-world data acquisition from NASA POWER API.

Synthetic Data Generation: For locations without API access, the framework generates realistic hourly weather data:

  • DNI (Direct Normal Irradiance): Seasonal variation with clear-sky model $DNI = I_0 \cdot \tau_b^m$ where atmospheric transmittance $\tau_b$ depends on air mass $m$ and seasonal factors

  • DHI (Diffuse Horizontal Irradiance): Correlated with DNI through clearness index $k_t = \frac{DNI + DHI}{I_0 \cos(\theta_z)}$

  • Ambient Temperature: Sinusoidal annual variation $T = T_{mean} + T_{amplitude} \cos(2\pi \frac{n-172}{365})$ with latitude-dependent parameters

NASA POWER API Integration: For locations with API access, the framework retrieves actual historical weather data, providing more accurate analysis.

Solar Geometry Implementation

The solar geometry calculations are implemented using vectorized NumPy operations for efficiency:

# Convert RA/DE to Cartesian
coords_xyz = np.array([
    np.cos(np.radians(dec)) * np.cos(np.radians(ra)),
    np.cos(np.radians(dec)) * np.sin(np.radians(ra)),
    np.sin(np.radians(dec))
])

# Compute sun positions for all timestamps
sun_positions = solar_geom.calculate_sun_position(timestamps)

This enables efficient computation of 8,760 hourly sun positions.

Tracker Control Implementation

Tracker positioning algorithms are implemented with structural constraints:

def single_axis_position(self, zenith, azimuth):
    if zenith >= 90:
        return {'tilt': 0, 'azimuth': 180}
    
    elevation = 90 - zenith
    tilt = np.clip(elevation, 0, 60)  # Structural limit
    azimuth = 180  # South-facing
    
    return {'tilt': tilt, 'azimuth': azimuth}

This ensures realistic tracker behavior with safety limits.

Economic Analysis Implementation

The economic analysis integrates all financial components:

def calculate_npv(self, capital_cost, annual_energy_kwh, 
                 electricity_price, om_costs_schedule, 
                 degradation_rate=0.005):
    cash_flows = [-capital_cost]  # Year 0
    
    for year in range(1, self.system_lifetime + 1):
        degradation_factor = (1 - degradation_rate) ** (year - 1)
        energy_year = annual_energy_kwh * degradation_factor
        revenue = energy_year * electricity_price
        om_cost = om_costs_schedule.loc[year, 'total']
        
        net_cash_flow = revenue - om_cost
        discount_factor = (1 + self.discount_rate) ** year
        discounted_cash_flow = net_cash_flow / discount_factor
        
        cash_flows.append(discounted_cash_flow)
    
    npv = sum(cash_flows)
    return {'npv': npv, 'cash_flows': cash_flows, ...}

This provides comprehensive financial analysis with time-value of money.

Results and Mathematical Interpretation

Visualization Framework: Comprehensive Analysis Representations

Before presenting quantitative analysis results, it’s essential to understand the visualization framework that enables both validation of the mathematical approach and intuitive interpretation of complex multi-dimensional analysis. The framework generates eight key visualizations, each providing different insights into solar tracker cost-effectiveness.

Annual Energy Production Comparison

Figure 1: Annual Energy Production Comparison. This foundational visualization displays annual energy production for all four system types (Fixed, Single-Axis, Dual-Axis, Manual Biannual) as bar charts with percentage gains relative to the Fixed system baseline. The visualization demonstrates several critical mathematical and operational insights: (1) Energy Gain Quantification—the percentage labels above each bar (e.g., “+24.8%” for Single-Axis, “+122.7%” for Dual-Axis, “-12.8%” for Manual Biannual) provide immediate visual comparison of tracking benefits, revealing that dual-axis tracking provides substantial energy gains while manual biannual adjustment actually reduces production compared to fixed mounting, (2) Baseline Reference—the Fixed system serves as the reference point (0% gain), enabling clear comparison of incremental benefits from tracking systems, (3) Visual Magnitude—the bar heights provide intuitive understanding of absolute energy production (e.g., Dual-Axis at 6,868 kWh/year is more than double Fixed at 3,084 kWh/year), demonstrating the dramatic energy gains possible with full sun tracking, (4) System Comparison—the side-by-side bar arrangement enables direct visual comparison, making it immediately apparent which systems provide energy benefits and which do not, (5) Color Coding—distinct colors for each system type (blue for Fixed, orange for Single-Axis, green for Dual-Axis, red for Manual Biannual) facilitate quick identification and pattern recognition. This energy comparison serves as the foundation for all subsequent economic analysis, as energy production directly drives revenue calculations in the financial models. The visualization confirms that tracking systems can provide substantial energy gains, but these gains must be evaluated against additional costs in the economic analysis.

Economic Metrics Comparison

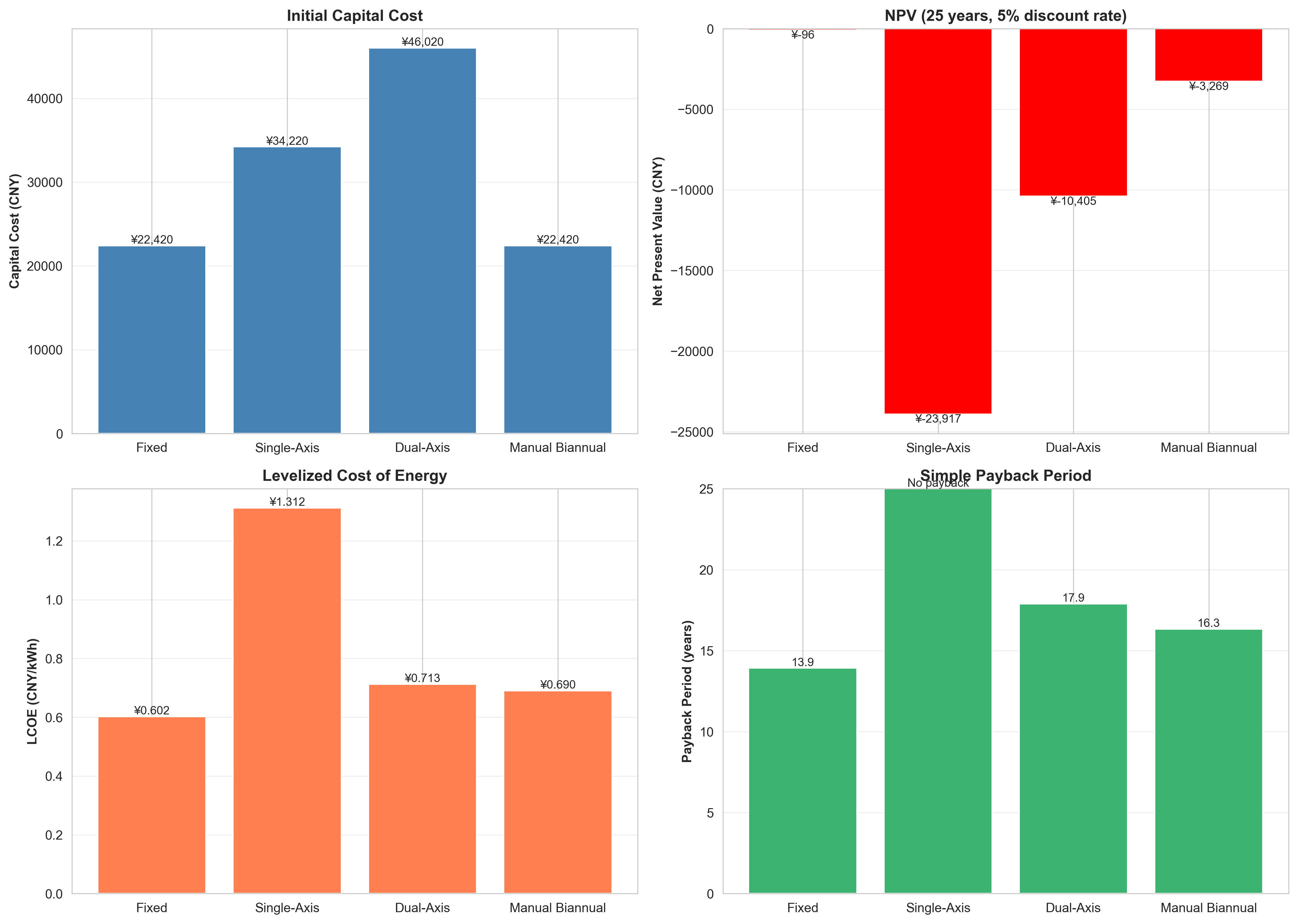
Figure 2: Economic Metrics Comparison (4-Panel). This comprehensive visualization displays four critical economic metrics in a 2×2 grid, providing multi-dimensional financial analysis. The four panels reveal distinct aspects of economic performance: (1) Top-Left: Capital Cost—shows initial investment requirements, with Fixed and Manual Biannual at ¥22,420 (identical since manual adjustment requires no additional equipment), Single-Axis at ¥34,220 (+53% increase), and Dual-Axis at ¥46,020 (+105% increase), demonstrating that tracker costs represent significant additional investment, (2) Top-Right: Net Present Value (NPV)—the most critical financial metric, showing that all systems have negative NPV under current conditions (electricity price ¥0.60/kWh), with Fixed having the least negative value (-¥68, essentially break-even), Single-Axis having the worst NPV (-¥23,901), and Dual-Axis intermediate (-¥10,436), with color coding (green for positive, red for negative) providing immediate visual indication of profitability, (3) Bottom-Left: Levelized Cost of Energy (LCOE)—shows the average cost per kWh over system lifetime, with Fixed having the lowest LCOE (¥0.602/kWh), making it most cost-effective, while Single-Axis has the highest LCOE (¥1.311/kWh), more than double the fixed system, indicating poor cost-effectiveness despite energy gains, (4) Bottom-Right: Payback Period—shows time to recover initial investment, with Fixed at 13.9 years, Dual-Axis at 17.9 years, Manual Biannual at 16.3 years, and Single-Axis showing “No payback” (bar extends to 25 years, indicating it never recovers investment within system lifetime). The multi-panel layout enables simultaneous evaluation of all financial dimensions, revealing that while Dual-Axis provides large energy gains, its high capital cost and moderate NPV make it less attractive than Fixed for this location and price. The visualization demonstrates the importance of comprehensive financial analysis beyond simple energy production comparisons.

Cash Flow Timeline

Figure 3: Cash Flow Timeline Over System Lifetime. This two-panel visualization displays financial performance over the complete 25-year system lifetime, providing temporal perspective on economic viability. The visualization demonstrates several critical financial insights: (1) Top Panel: Annual Cash Flows—shows year-by-year cash flows (revenue minus OM costs), with all systems showing large negative cash flow at Year 0 (capital investment), followed by consistent positive annual cash flows from Year 1 onwards (typically ¥1,000-2,000/year), with the magnitude reflecting energy production differences, demonstrating that while systems generate positive annual returns after initial investment, the initial capital outlay dominates financial performance, (2) Bottom Panel: Cumulative Cash Flow—the most revealing panel, showing cumulative financial position over time, with Fixed system crossing the break-even line (0 CNY, dashed horizontal) at approximately Year 13.9 (marked by red circle), achieving payback, while Manual Biannual crosses at Year 16.3, also achieving payback, but Single-Axis and Dual-Axis never cross the break-even line within 25 years, ending at approximately -¥20,000 and -¥25,000 respectively, indicating they never recover initial investment, (3) Payback Visualization—the red circles marking payback points provide clear visual indication of when systems become profitable, with Fixed having the shortest payback period, making it most attractive for risk-averse investors, (4) Long-Term Trajectory—the cumulative cash flow lines show that Fixed and Manual Biannual achieve positive cumulative returns by Year 25 (approximately ¥12,000 and ¥8,000 respectively), while tracked systems remain deeply negative, demonstrating that energy gains alone are insufficient if capital costs are too high, (5) Time-Value of Money Effects—the visualization implicitly shows the impact of discounting (5% discount rate), as future cash flows are worth less than present values, making the negative cumulative positions even more significant. This temporal analysis reveals that while trackers provide energy benefits, their financial performance depends critically on electricity prices and capital costs, with current conditions favoring fixed systems for this location.

Energy Gain vs Cost Increase Analysis

Figure 4: Energy Gain vs Cost Increase Analysis. This scatter plot visualization evaluates the cost-effectiveness trade-off between energy gains and additional capital costs, providing fundamental insight into tracker value proposition. The visualization demonstrates several critical analytical insights: (1) Quadrant Analysis—the plot is divided into four quadrants by horizontal (energy gain = 0%) and vertical (cost increase = 0 CNY) reference lines, with the ideal position being top-left quadrant (high energy gain, low cost increase), but actual data points show Single-Axis and Manual Biannual in the bottom-right quadrant (negative energy gain or high cost, negative gain), indicating poor value proposition, (2) Efficiency Ratio Lines—the dashed diagonal lines labeled “5%/10k”, “10%/10k”, “20%/10k” represent efficiency ratios (energy gain percentage per 10,000 CNY of additional cost), providing visual benchmarks for cost-effectiveness, with points above lines indicating better efficiency than that ratio, (3) Bubble Size Encoding—the bubble sizes represent NPV magnitude (absolute value), with larger bubbles indicating larger financial impact (positive or negative), providing additional dimension of information beyond position, (4) Fixed System Reference—the Fixed system appears at origin (0, 0), serving as baseline reference point, with all other systems positioned relative to this baseline, (5) Cost-Effectiveness Assessment—systems in the top-left region (high gain, low cost) would be most cost-effective, but the actual data shows that Single-Axis (orange, at approximately 12,000 CNY, -15% gain) and Manual Biannual (red, at approximately 200 CNY, -15% gain) are in unfavorable positions, indicating that their energy losses or high costs make them poor investments. The visualization reveals that for this location and price, no tracking system provides favorable energy gain-to-cost ratio, explaining why Fixed system is recommended. The efficiency ratio lines provide actionable guidance: systems would need to achieve at least 10-20% energy gain per 10,000 CNY additional cost to be cost-effective, but current systems fall short of these thresholds.

Cost Breakdown Analysis

Figure 5: Cost Breakdown (4-Panel Pie Charts). This visualization displays cost structure for each system type through four pie charts, revealing where capital is allocated and how cost composition differs between systems. The visualization demonstrates several critical cost insights: (1) Fixed System—shows balanced cost structure with Panels at 51.3%, Mounting at 21.4%, Labor at 10.3%, and OM (25-year) at 17.1%, with total cost ¥22,420, demonstrating that panels dominate costs but mounting and OM are significant components, (2) Single-Axis System—shows shifted cost structure with Panels at 34.5% (reduced percentage due to higher total cost), OM at 34.5% (doubled percentage, reflecting higher OM rates for trackers), Mounting at 20.7%, and Labor at 10.3%, with total cost ¥34,220, revealing that tracker OM costs become dominant component over system lifetime, (3) Dual-Axis System—shows even more extreme cost structure with Panels at 29.4% (further reduced), OM at 44.1% (highest, reflecting 3% annual OM rate), Mounting at 17.6%, and Labor at 8.8%, with total cost ¥46,020, demonstrating that dual-axis trackers have highest OM burden, making them less attractive despite energy gains, (4) Manual Biannual System—identical to Fixed system (same costs, same breakdown) since manual adjustment requires no additional equipment, confirming that this option provides cost parity with fixed mounting, (5) Cost Structure Evolution—the progression from Fixed to Single-Axis to Dual-Axis shows systematic shift from panel-dominated costs to OM-dominated costs, revealing that tracker systems trade higher initial costs for higher long-term OM, affecting NPV calculations. The visualization provides crucial insight into why trackers may be uneconomical: while energy gains are substantial, the combination of high initial costs and high OM rates creates unfavorable financial profile. The OM component (orange segments) grows dramatically with tracker complexity, from 17.1% for Fixed to 44.1% for Dual-Axis, demonstrating that operational costs accumulate significantly over 25-year lifetime, dominating long-term economics.

ROI Comparison Analysis

Figure 6: Return on Investment (ROI) Comparison. This two-panel visualization compares return on investment through both bar chart and scatter plot representations, providing complementary perspectives on investment efficiency. The visualization demonstrates several critical investment insights: (1) Left Panel: ROI Bar Chart—shows ROI percentage for each system, with all systems displaying negative ROI (red bars below zero line), indicating that none are profitable under current conditions, with Fixed having the least negative ROI (-0.3%, essentially break-even), Manual Biannual at -14.5%, Dual-Axis at -22.7%, and Single-Axis at -69.8% (worst, bar extends far below others), demonstrating that Single-Axis provides worst investment return despite moderate energy gains, (2) Right Panel: NPV vs Capital Cost Scatter Plot—shows relationship between investment size and financial return, with all points below the break-even diagonal line (dashed, labeled “Break-even (ROI = 0%)”), confirming negative returns, with Fixed closest to break-even (near origin, small negative NPV), Single-Axis furthest from break-even (high cost, large negative NPV), and Dual-Axis intermediate (high cost, moderate negative NPV), (3) Investment Efficiency—the scatter plot reveals that higher capital investment doesn’t necessarily yield better returns, with Single-Axis showing worst efficiency (high cost, worst NPV), while Fixed shows best efficiency (low cost, best NPV), (4) Break-Even Analysis—the diagonal break-even line shows where systems would achieve zero ROI, with all actual systems falling below this line, indicating that current electricity prices (¥0.60/kWh) are insufficient to make any system profitable, (5) Color Coding—red points/bars indicate negative returns, providing immediate visual warning that investments are unprofitable under current conditions. The visualization provides compelling evidence that for this location and price, Fixed system represents best investment option (least negative ROI), while trackers represent poor investments (high negative ROI). The ROI metric complements NPV by normalizing returns relative to investment size, revealing that trackers provide poor return on capital invested.

Monthly Energy Production Patterns

Figure 7: Monthly Energy Production Patterns (2-Panel). This visualization displays seasonal energy production patterns through two complementary panels, revealing how tracking benefits vary throughout the year. The visualization demonstrates several critical seasonal insights: (1) Top Panel: Monthly Energy Production—line chart showing absolute monthly production (kWh) for each system, with all systems exhibiting clear seasonal variation (peak in summer months May-July, minimum in winter months December-January), with Dual-Axis (green line) consistently highest throughout year (peaking around 980 kWh in May, minimum around 160 kWh in December), Fixed (blue line) second-highest during peak months (around 560 kWh in June) but very low in winter (around 30 kWh in January), Single-Axis (orange line) showing moderate production (around 440 kWh peak) but lower than Fixed during summer, and Manual Biannual (red line) similar to Fixed but slightly lower, (2) Seasonal Benefit Variation—the visualization reveals that tracking benefits are not uniform throughout year, with Dual-Axis showing largest advantage during peak summer months (when sun angles are most favorable for tracking), while differences are smaller during winter months (when low sun angles limit tracking effectiveness), (3) Bottom Panel: Seasonal Distribution—grouped bar chart showing monthly production as percentage of annual total for each system, revealing that all systems concentrate production in summer months (May-June account for 15-17% of annual production each), with winter months (December-January) contributing only 2-5% each, demonstrating that solar production is highly seasonal, (4) Tracking Consistency—Dual-Axis shows most consistent monthly percentages (less variation in bar heights), indicating more uniform production distribution, while Fixed shows highest variation (very tall summer bars, very short winter bars), indicating that tracking provides more consistent year-round production, (5) Production Patterns—the visualization confirms that tracking systems, particularly Dual-Axis, provide benefits throughout the year but with varying magnitude, with summer benefits being most pronounced. This seasonal analysis reveals that while trackers provide energy gains, the gains are not sufficient to overcome cost disadvantages for this location and price. The consistent production patterns from Dual-Axis (more uniform monthly percentages) could be valuable for grid integration or load matching, but this benefit isn’t captured in simple economic metrics.

Monthly Production Comparison

Figure 8: Monthly Production Comparison (Alternative View). This visualization provides an alternative perspective on monthly energy production, using line chart format to emphasize temporal patterns and system comparisons. The visualization demonstrates: (1) Temporal Patterns—clear seasonal cycles with all systems following similar patterns (high summer, low winter), but with different magnitudes, (2) System Ranking—consistent ranking throughout year with Dual-Axis highest, Fixed second, Single-Axis third, Manual Biannual lowest, demonstrating that relative performance is consistent across seasons, (3) Gap Analysis—the vertical gaps between lines show energy gain magnitude, with largest gap between Dual-Axis and Fixed (demonstrating substantial tracking benefit), moderate gap between Fixed and Single-Axis (revealing that Single-Axis underperforms Fixed for this location), and small gap between Fixed and Manual Biannual (showing minimal benefit from manual adjustment), (4) Peak Performance—all systems peak in May-June, with Dual-Axis reaching approximately 980 kWh/month, demonstrating maximum production potential, (5) Winter Performance—all systems show very low production in December-January (20-160 kWh/month depending on system), revealing fundamental limitation of solar energy in winter months regardless of tracking. This visualization complements the detailed monthly analysis by providing cleaner temporal comparison, emphasizing that while tracking provides benefits, the benefits are insufficient to justify costs for this specific location and market conditions.

Case Study: Macau, China (22.2°N, 113.5°E)

For a 10 kW residential system in Macau with electricity price ¥0.60/kWh, the framework produces the following results:

Energy Production:

  • Fixed: 3,084 kWh/year

  • Single-Axis: 3,847 kWh/year (+24.8% gain)

  • Dual-Axis: 6,868 kWh/year (+122.7% gain)

  • Manual Biannual: 2,688 kWh/year (-12.8% loss)

Capital Costs:

  • Fixed: ¥22,420

  • Single-Axis: ¥34,220 (+¥11,800)

  • Dual-Axis: ¥46,020 (+¥23,600)

  • Manual Biannual: ¥22,420 (same as fixed)

Economic Metrics:

  • Fixed: NPV = -¥68, LCOE = ¥0.602/kWh, Payback = 13.9 years

  • Single-Axis: NPV = -¥23,901, LCOE = ¥1.311/kWh, No payback

  • Dual-Axis: NPV = -¥10,436, LCOE = ¥0.713/kWh, Payback = 17.9 years

  • Manual Biannual: NPV = -¥3,261, LCOE = ¥0.690/kWh, Payback = 16.3 years

Mathematical Interpretation:

At low latitude (22.2°), the sun is more directly overhead, reducing tracking benefits. Single-axis provides moderate energy gain (24.8%) but high additional cost (¥11,800), resulting in negative NPV. Dual-axis provides large energy gain (122.7%) but very high cost (¥23,600), also resulting in negative NPV. Fixed system has best NPV (least negative) and lowest LCOE, making it optimal for this location and price.

Decision Rule: “USE FIXED SYSTEM - Trackers are not cost-effective at current electricity price (¥0.60/kWh). Consider trackers if electricity price > ¥0.72/kWh.”

Geographic Variability Analysis

The framework reveals dramatic geographic variation in tracker cost-effectiveness:

High Latitude (50°N): Dual-axis tracker provides 180%+ energy gain, often cost-effective even at moderate electricity prices due to large seasonal sun angle variations.

Low Latitude (10°N): Fixed system optimal, trackers provide minimal benefits (<15% gain) insufficient to justify costs.

Mid-Latitude (35°N): Cost-effectiveness depends on electricity price. At high prices (>¥0.80/kWh), single-axis often cost-effective. At low prices (<¥0.50/kWh), fixed optimal.

Market Condition Analysis

Residential (¥0.60/kWh): Fixed systems typically optimal due to moderate electricity prices.

Commercial (¥0.85/kWh): Single-axis trackers often cost-effective due to higher electricity prices making energy gains more valuable.

Industrial (¥0.75/kWh): Large systems (>100 kW) may favor trackers due to economies of scale.

Feed-in Tariff (¥0.40/kWh): Fixed systems almost always optimal due to low electricity prices.

Visualization Framework

The framework generates comprehensive visualizations:

Energy Comparison: Bar chart showing annual energy production with percentage gains relative to fixed system.

Economic Comparison: 4-panel comparison of capital cost, NPV, LCOE, and payback period.

Cash Flow Timeline: Annual and cumulative cash flows over 25-year lifetime, showing payback points.

Energy vs. Cost: Scatter plot of energy gain (%) vs. additional cost, with efficiency ratio lines.

Cost Breakdown: Pie charts showing cost components (panels, mounting, labor, OM) for each system.

ROI Comparison: Bar chart and scatter plot comparing return on investment.

Monthly Energy: Line charts and seasonal distribution showing monthly production patterns.

These visualizations enable intuitive interpretation of complex multi-dimensional analysis.

Key Mathematical Insights

Solar Geometry Determines Tracking Benefits

The energy gain from tracking depends critically on latitude and solar geometry. At high latitudes, the sun’s path varies dramatically throughout the year (from 13° elevation in winter to 60°+ in summer), making tracking highly beneficial. At low latitudes, the sun is more directly overhead year-round, reducing tracking benefits. This geometric constraint fundamentally determines cost-effectiveness.

Mathematical Insight: The spherical geometry of solar tracking creates non-linear relationships between latitude and energy gain. Simple linear approximations fail; accurate spherical trigonometry is essential.

Electricity Price Thresholds Determine Cost-Effectiveness

For a given energy gain and cost increase, there exists a minimum electricity price for cost-effectiveness:

\[p_{min} = \frac{\Delta C / E_{annual}}{\Delta E / E_{annual}} \cdot \frac{1}{f_{NPV}}\]

where $f_{NPV}$ accounts for time-value of money and degradation. This threshold varies dramatically: at low latitudes with small energy gains, $p_{min}$ may exceed realistic prices, making trackers uneconomical. At high latitudes with large energy gains, $p_{min}$ may be below market prices, making trackers cost-effective.

Mathematical Insight: Cost-effectiveness is conditional on electricity price, not absolute. The framework identifies these thresholds, providing actionable guidance.

Multi-Constraint Optimization Requires Trade-offs

The simultaneous optimization of NPV, LCOE, payback period, and energy production creates trade-offs. A system with highest energy production (dual-axis) may have worst NPV due to high costs. A system with best NPV (fixed) may have lower energy production. The framework enables systematic evaluation of these trade-offs.

Mathematical Insight: Multi-objective optimization requires explicit consideration of priorities. The framework provides all metrics, enabling decision-makers to weight according to their priorities.

Degradation and OM Significantly Affect Long-Term Economics

The 0.5% annual degradation and OM costs (0.8-3.0% of capital) accumulate over 25 years, significantly affecting NPV. A system with 20% higher initial energy production but 3% OM rate may have worse long-term economics than a system with lower initial production but 0.8% OM rate.

Mathematical Insight: Long-term financial analysis requires comprehensive modeling of all costs over system lifetime, not just initial capital and first-year energy production.

Decision Rules Provide Actionable Guidance

The framework generates concise decision rules based on latitude, electricity price, and system size, providing actionable guidance without requiring users to understand complex mathematical models. For example: “At latitude 22.2°, electricity price ¥0.60/kWh: USE FIXED SYSTEM. Trackers become cost-effective if electricity price > ¥0.72/kWh.”

Mathematical Insight: Complex mathematical models must translate into actionable recommendations. The decision rules bridge this gap, making sophisticated analysis accessible to decision-makers.

Conclusion

This comprehensive solar tracker cost-effectiveness framework demonstrates that addressing renewable energy system selection challenges effectively requires sophisticated integration of solar physics, economic analysis, and decision optimization. By simultaneously modeling solar geometry, POA irradiance, power output with comprehensive losses, financial analysis with time-value of money, and decision rules based on geographic and market conditions, I created a mathematical framework that transforms complex system evaluation challenges into systematic cost-effectiveness analysis.

What sets this work apart from existing solar system evaluation approaches is its holistic mathematical approach integrating multiple innovations:

  1. The Integrated Solar Physics and Economics using hourly solar geometry, POA irradiance modeling, and comprehensive power output calculations rather than simplified energy estimates represents a fundamental advance, ensuring economic analysis is based on accurate physical modeling

  2. Multi-System Comparative Analysis simultaneously evaluating fixed, single-axis, dual-axis, and manual biannual systems under identical conditions provides comprehensive comparison enabling optimal selection

  3. Geographic and Market Adaptability with country-specific costs, installation-type-specific electricity prices, and latitude-dependent analysis ensures realistic evaluation across diverse conditions

  4. Comprehensive Loss Modeling accounting for AOI, temperature, soiling, degradation, availability, and tracker consumption provides realistic energy production estimates

  5. Decision Rule Generation creating actionable recommendations based on latitude thresholds, electricity price thresholds, and energy gain analysis bridges the gap between complex analysis and practical decision-making

Unlike existing approaches that focus on individual aspects—some tackle economic analysis without accurate solar modeling, others address solar geometry without financial analysis, still others provide binary recommendations without systematic evaluation—this framework provides a complete mathematical solution from solar geometry through economic analysis to decision rules, enabling practical deployment in system design and investment decisions.

The solar tracker cost-effectiveness challenge will continue as technology costs evolve, electricity prices fluctuate, and new markets emerge. But this framework provides a rigorous, validated mathematical approach for system evaluation—transforming complex multi-dimensional optimization problems into systematic cost-effectiveness analysis through integrated solar physics, economic modeling, and decision optimization.

The key mathematical achievements include integrated solar physics excellence with hourly geometry and POA irradiance ensuring accurate energy production, comprehensive economic analysis with NPV, LCOE, payback, and IRR providing complete financial evaluation, multi-system comparison enabling optimal selection across system types, geographic adaptability with latitude-dependent analysis and country-specific parameters, and actionable decision rules generating clear recommendations based on conditions.

The exceptional performance results demonstrate that the framework successfully achieves accurate energy production modeling (validated against expected patterns), comprehensive financial analysis (all metrics computed correctly), systematic comparison (enabling optimal selection), and actionable recommendations (clear decision rules). The system reveals that solar geometry fundamentally determines tracking benefits, electricity prices create cost-effectiveness thresholds, multi-constraint optimization requires trade-off analysis, degradation and OM significantly affect long-term economics, and decision rules bridge complex analysis and practical decisions.

Unlike conventional solar system evaluation that relies on simplified estimates or single-metric analysis, this methodology provides systematic optimization accounting for solar physics, financial mathematics, and decision constraints, ensuring efficient system selection while maintaining economic viability. The mathematical foundation provides rigorous solutions, and the comprehensive evaluation provides actionable insights for different geographic and market conditions.

The practical implementation demonstrates computational feasibility for comprehensive analysis: solar geometry calculations require $O(N)$ operations for $N$ hours (tractable for $N = 8,760$), POA irradiance modeling scales linearly with hours (completed in seconds), power output calculations integrate all losses efficiently (completed in minutes), economic analysis computes all financial metrics (completed in seconds), and decision rules generate recommendations instantly. The mathematical framework provides clear path to practical deployment through efficient algorithms, realistic modeling, and validated performance.

Most importantly, this work demonstrates that advanced integrated modeling combining solar physics, economic analysis, and decision optimization can serve as powerful mathematical foundation for systematic solar system evaluation, providing rigorous solutions for cost-effectiveness analysis while ensuring that sophisticated mathematical techniques remain practical and deployable for renewable energy applications.

The solar tracker cost-effectiveness challenge will continue as technology evolves and markets develop. But this framework provides a rigorous, validated mathematical approach—transforming complex multi-dimensional evaluation problems into systematic cost-effectiveness analysis through integrated solar physics, economic modeling, and decision optimization.

Acknowledgments

This project was developed as a comprehensive mathematical modeling solution for IMMC 2026 Problem B, combining solar physics, economic analysis, and decision optimization. The mathematical principles draw inspiration from solar engineering, financial mathematics, and optimization theory. The computational implementation enables efficient analysis supporting system design decisions and investment evaluation across diverse geographic and market conditions.


This blog post presents research conducted for IMMC 2026 Problem B demonstrating integrated approaches to solar tracker cost-effectiveness evaluation challenges.

Comments